熒光增白劑OB-1是目前眾多增白劑耐熱相對較好的一款增白劑型號,它不僅分解溫度高、白度好,添加量小,而且應用在塑料中與塑料具有良好的相容性,如滌綸樹脂、滌綸纖維、普通塑料及工程塑料等的增白。
熒光增白劑OB-1的合成工藝,常見的主要有三種即硫磺法工藝、叔丁醇鈉法工藝、噁唑醛法工藝,今天塑邦就帶大家具體來了解一下這三種合成工藝。
1、 硫磺酸法
原料:硫磺粉、4-甲基苯基苯并噁唑、二甲苯、DMF (N,N-二甲基甲酰胺 )、NP (N-甲基吡咯烷酮),均為工業品。
合成工藝:該工藝的合成包括硫化、脫硫、精制三個部分。
(1)硫化:

將 4-甲基苯基苯并噁唑和硫磺按質量1:2~ 2.5的比例交替投入硫化釜中加熱至150℃,啟動攪拌,繼續加熱至 240℃時開啟H2S吸收裝置 ,在255~265℃范圍內反應3~4h,反應結束降溫至160℃,緩慢滴加一定量的二甲苯,120℃時將料液放入脫硫釜中。
(2) 脫硫
將脫硫釜中料液加熱回流1h,降溫至100℃時趁熱過濾;將濾餅再投入到脫硫釜中,加入一定量的二甲苯加熱回流1h,降溫至100℃趁熱過濾,如此重復3~4次,最后一次用離心機甩干,得 OB-1粗品 。
(3) 精制
根據要求,粗品可用DMF或NP進行精制。該生產方法工藝簡單,但有收率低 (50%)、污染大、生產需要高溫的缺點。目前國內好幾家廠家采用該法生產,該法生產的產品質量較好,基本上可以與國外進口的產品相媲美。在生產中需要注意的是:硫化結束后,降溫要迅速,而且使用硫磺粉純度要高,含水量(質量分數)必須在0.5%以下。最好使用升華硫磺粉。
2、 叔丁醇鈉法
原料:氨基鈉、叔丁醇、對w-氯甲基苯基苯并噁唑、甲苯、DMF、NP,均為工業品。
合成工藝:該工藝的合成包括催化劑制備、合成、精制三個步驟。
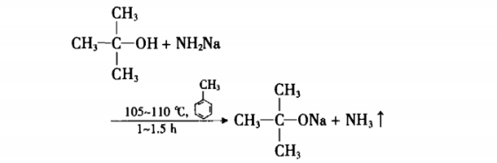
(1) 叔丁醇鈉的制備
叔丁醇鈉的合成反應式如下:

將甲苯、氨基鈉、叔丁醇以一定比例按照前后順序分別加入到催化釜中,密封后開啟攪拌且加熱,在 105~110℃范圍內反應 1~1.5h后降溫至20℃以下,加入少量DMF稀釋備用。
(2)合成
叔丁醇鈉法合成OB-1的反應式為:

將對w-氯甲基苯基苯并噁唑與DMF按一定的比例投入到合成釜中,當溫度降到0℃以下時快速加入制好的叔丁醇鈉,充分反應1~1.5h后,加入少量冰醋酸將pH值調至7左右,壓濾,濾餅,即是OB-1粗品。
(3)精制
根據對純度的需要。用DMF或NP進行重結晶。該生產工藝簡單,原料易得,收率高(79%), 無污染,屬于環保型工藝,目前國內采用該法生產的廠家不多。該法所生產的OB-1順式結構多于反式結構,熒光度差,增白效果好,適用于普通塑料及工程塑料的增白。在合成中,叔丁醇鈉質量的好壞直接影響產品收率的高低,合成反應時最高溫度直接影響OB-1產品的外觀顏色及熒光強度,工藝的整個反應及所用的主要原料對含水量的要求特別嚴格,必須在0.5%以下 。
3、 噁唑醛法
原料:對w-氯甲基苯基苯并噁唑、亞磷酸三乙酯、噁唑醛、甲醇鈉、DMF。
合成工藝:噁唑醛法生產OB-1的合成工藝主要包括酯化、縮合、重結晶三個步驟 。
(1)酯化
將對w-氯甲基苯基苯并噁唑與亞磷酸三乙酯按1:1.2的物質的量比投入到酯化釜中,升溫到155~160℃反應4~6h后。減壓蒸餾出過量的亞磷酸三乙酯,得淺黃色酯化物,反應式為:

(2)縮合
縮合的反應式為:

稱取與對 w-氯甲基苯基苯并噁唑同樣物質的量的噁唑醛,加入到酯化物中,然后加入適量 的DMF,升溫至物料完全溶后,降溫,在40~45℃滴加甲醇鈉(29%)溶液,滴加完畢后升溫至60℃,反應 2~3h,冷卻,壓濾,得OB-1粗品。該工藝方法簡單,無污染,收率高 (81%),是國內為數不多的幾家生產廠家采用的工藝。用該工藝所生產的OB-1反式結構多于順式結構,熒光度好,產品的外觀漂亮,用于滌綸化纖、滌綸聚酯時,使用效果優于上面兩種工藝生產的OB-1。
隨著環保力度的加大,山東塑邦當前已全方位采用噁唑醛法生產。我廠所生產的OB-1,其增白效果好,價格實惠、供貨穩定等因素,廣受市場認可。